反向偏置差分線性傳感器的較新進展和應用
作者:Allegro MicroSystems(歐洲)有限公司 Yannick Vuillermet、
介紹
反向偏置差分線性傳感器的主要應用是測量軸和軸向位移等線性運動,本文以Allegro ATS344LSP 反向偏置差分線性傳感器 IC為例介紹了其傳感原理,其磁性配置的優點,并給出了典型的用戶應用。
為了正確使用,此傳感器必須與設計良好的移動鐵磁靶相關聯。反向偏置布置和差分感測技術需要特定的靶形狀來產生有用的磁信號。
ATS344LSP 包含雙線輸出接口,并在封裝中集成了旁路電容,使其適用于分散式傳感器(通常用于汽車),無需使用印刷電路板。
與通常用于線性位置測量的磁性傳感器相比,ATS344LSP具有獨特的性能優勢。
ATS344LSP 及其優勢
ATS344LSP 為測量線性位移提供了獨特而有利的方法。下面介紹測量線性位移的其他常用技術。
第一種常用技術是使用與零高斯環形磁體(圖 1)相關的單場測量(例如單個霍爾板)。零高斯磁體是指在霍爾板位置沒有磁場的磁體(即磁基線為零)。環形磁體也沿 y 軸被磁化。
零高斯磁體與單個霍爾板 IC 一起使用,以限制溫度變化導致的傳感器不精確(例如,相比 20°C,SmCo 稀土磁體磁場強度在 150°C 時會降低 4% 左右)。非零高斯的磁體將具有高的基線磁場,并且該磁場隨溫度的變化難以補償。
例如,針對這些類型的線性位移測量,對應的 Allegro IC 是 ATS341LSE。
由這種零高斯系統的霍爾板感測的場是傳感器與移動的鐵磁體靶之間距離的非線性測量結果:越接近靶,磁場越強。圖 4 顯示了傳感器響應。
零高斯 布置的主要優勢是簡化概念。缺點主要是 零高斯 磁體昂貴(與矩形磁鐵相比),以及對外部擾動磁場比較敏感,單個霍爾板能直接感測任何外部場擾動。請注意,通常還需要在應用中校準這種類型的傳感器,以補償實際安裝氣隙的變化。

圖 1:零高斯磁體和單霍爾板測量的橫截面圖。
測量線性位移的第二種常用技術是使用安裝在要感測移動對象上的永磁體以及相關傳感器,該傳感器能夠測量由該磁體產生磁場角度。
圖 2說明了這個原理:移動磁體沿 x 軸磁化。測量磁場角度 β,并且直接測量磁體位置。
有關此原理的更多信息可以在 Allegro 應用注釋中找到:Allegro 網站提供“使用角度傳感器 IC 的線性位置感測”。例如,針對這些類型的線性位移測量,對應的 Allegro IC 是 A1335。

圖 2:磁場角度測量。
圖 2 中的配置對氣隙變化敏感度低,根據磁體設計,這是本應用注釋描述的唯一能夠達到大氣隙 (>4 mm) 和長行程距離 (>10 mm) 的技術。
這種配置的主要缺點是需要將磁體安裝在系統中要感測的運動對象上。磁體安裝過程很昂貴,并且磁體有可能偏離目標。此外,磁角度測量對外擾動磁場敏感。
由于 ATS344LSP 采用差分檢測原理,該 IC 對外部磁場擾動幾乎不敏感。IC 使用的差分處理電路自然去除兩個霍爾板(即共模場)上的類似擾動。ATS344LSP 對兩個霍爾板上的不同干擾都保持敏感。例如,與 SP 封裝引線平行的導線距離傳感器 40 mm,電流 500 A,將產生 2 G 的差分響應,并將在傳感器輸出中檢測到。但請注意,在這種情況下,單個或二維現場測量會感測到 25 G 的變化。
ATS344LSP 的差分測量技術還允許使用簡單且低成本的矩形磁體,而不是復雜且昂貴的零高斯磁體。可以使用更簡單的磁體,因為磁基線由 ATS344LSP 的差分計算去除。
使用鐵磁靶和帶有集成反向偏置磁體的 IC 具有許多優點,還有必須權衡的因素。需要權衡的主要因素與
工作氣隙極限和 IC 線性位移感測范圍有關。這些參數受到 Allegro SP 封裝集成磁體尺寸的限制。對于 SP 封裝,典型較大氣隙大約為 2 mm,較大檢測范圍大約為 10 mm。如果使用移動磁體技術,氣隙極限和行程范圍可以大得多,但要使用非常大的昂貴磁體,并且對外部擾動場的抗擾度降低。
在一些應用中,要被感測的運動物體是將線性偏移并可能繞其軸線旋轉的軸。在這種情況下,移動磁體法需要覆蓋軸的整個圓周的磁鐵。這也需要使用尺寸巨大的昂貴磁體。
如已經討論的那樣,與安裝分離磁體相比,使用 ATS344LSP 和鋼靶測量線性位移通常更容易且更便宜。
典型應用
請注意,以下所有結果均來自模擬,可能與實際結果略有不同。
在這個例子中,目標是確定一個靶位置(圖3)。靶沿 x 軸移動。

圖 3:移動靶的全局視圖。
為了說明 ATS344LSP 傳感器的性能,請考慮具有以下要求的典型應用:
- 靜態氣隙:1.35 ±0.45 mm
- 動態氣隙: ±0.05 mm
- 溫度范圍:–40 至 150°C
- 行程范圍 R:10 mm
- 用戶在直線行程的終點進行 2 點校準:預期在這些位置上的 10/90% PWM 輸出
為了獲得合適的輸入場范圍,使用 V 形靶,它能在 ATS344LSP 傳感器上產生雙極差分場。
磁場不隨應用氣隙線性減小。因此,使用直 V 形靶(圖 4)將固有地導致非線性差分傳感器輸出和精度誤差。該誤差稱為目標固有非線性。

圖4:直 V 型靶。
但是,目標形狀優化可以補償這種固有的非線性。實際上,磁場在小氣隙情況下下降得很快,而在大氣隙時下降慢得多。因此,在 V 形中間(即霍爾板實際感測到大氣隙的地方)設置較大斜率的靶可以補償非線性磁場行為。
合適的靶設計還必須考慮其他應用參數(例如動態氣隙變化)和傳感器 IC 誤差(偏移隨溫度漂移,靈敏度隨溫度變化等)。
圖 5 顯示了應用實例較佳靶橫截面圖。選擇L 14 mm 的靶長度不僅適合行程范圍和兩個霍爾板之間的距離 (3 mm),而且還考慮了有關 V 形端點的裕度。為了避免在 V 形區域以外平坦區域出現錯誤測量,需要該裕度。此處已考慮 1 mm 裕度。然后用以下公式得出靶長度 L:
L ≥ R + 4 mm
對于 V 形高度,推薦使用 2 - 4 mm 之間的值(圖 5 中顯示的是 3.5 mm)。高度小于 2 mm 會產生很小的差分場,從而導致更高的位置誤差。高度大于 4mm 不會顯著增加磁場,因為鐵磁材料離傳感器太遠。
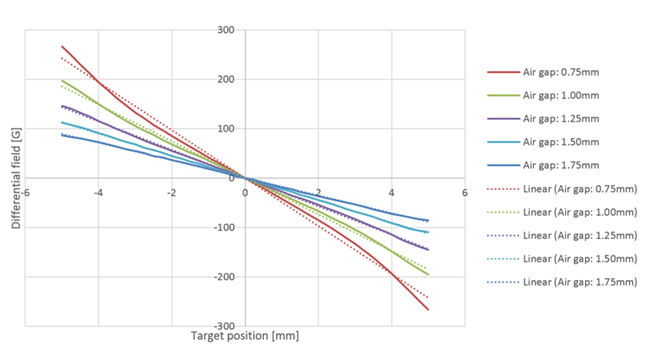
圖 6 顯示了 ATS344LSP 傳感器在此較優靶前面感測到的差分場(相比靶軸線位置和氣隙)。可以看出,差分場在標稱應用氣隙 (1.35 mm) 和大氣隙處是線性的,但是在小氣隙處顯著偏離。這是特意安排:在小氣隙情況下,傳感器感測到的差分場要高得多(圖 7),這使得傳感器對測量誤差(主要是 IC 偏移漂移)的敏感性大大降低。因此,為了在小氣隙和較大氣隙處獲得類似的精度性能,必須有所折中。在氣隙較小的情況下,誤差主要來自內在的目標非線性,而在大氣隙下,誤差主要來自傳感器測量誤差。

圖 5:應用靶的截面視圖。
圖 6:ATS344LSP 傳感器感測的差分場與靶位置和空氣間隙的關系。

圖7:差分場峰值-峰值與全程氣隙關系。
現在,將評估此應用示例所需的準確度。為了獲得實際值,進行了蒙特卡羅統計分析。在這個模擬中,根據統計分布規律,我們為各種應用參數的數千個實際案例進行建模(例如,安裝氣隙和傳感器偏移誤差)。對于每種案例,都要評估傳感器的輸出精度。
給出的結果對于整個 IC 溫度范圍有效,并且包括傳感器壽命漂移。這里報告的誤差是全范圍靶位移的較大位置誤差。使用壽命期間考慮的偏移漂移為 ±12G(根據在類似產品上執行的降低溫度循環測試;該數字將通過以后的 ATS344LSP 測試來確認)。
圖 8 顯示了評估的所有模擬案例在整個行程范圍內的較大位置誤差分布,誤差包括安裝氣隙、動態氣隙變化、溫度變化、傳感器誤差和目標固有非線性度。傳感器誤差包括溫度導致的偏移和靈敏度漂移、偏移和靈敏度壽命漂移、傳感器分辨率和非線性度。請注意,% FS(滿量程百分比)代表完整線性行程范圍的百分比。
在應用安裝后,對傳感器進行校準,使得行程范圍的第一端返回 10% 的 PWM,第二端返回 90% 的PWM(參見圖9)。
平均誤差約為 4.9%FS,標準偏差約為 1.3%FS。從誤差分布分析看來,約 3000ppm 的樣本具有大于 9.4% FS 或 0.94mm 的較大誤差。盡管沒有執行輸出線性化來補償內在目標非線性度,但是傳感器的較終精度是相當好的。

圖 8:全行程較大誤差 – 標準分布。
圖9 顯示了對于一個隨機模擬情況,相對于所有變化的參數,傳感器輸出的預期包絡。
圖10 是典型測量誤差與安裝氣隙的關系如預期,較小誤差在標稱氣隙附近,曲線相對于安裝氣隙范圍(0.9-1.8mm)近似對稱。

圖9:傳感器輸出包線實例。

圖10:典型誤差與安裝氣隙關系。
結論
Allegro Microsystems
ATS344LSP 磁性偏置差分線性傳感器 IC 在測量目標或軸的直線行程位置時具有獨特的優勢。與傳統的零高斯反向偏置線性 IC 或磁性角度傳感器 IC 相比,ATS344LSP 的優勢如下:
- 無需客戶系統提供磁體
- 輕松集成鐵磁靶
- 對外部擾動場敏感度極低
因此,ATS344LSP 推薦用于:
- 惡劣磁場環境
- 簡化靶安裝(降低成本)
- 改善應用靶固定的機械可靠性。
相關閱讀:
- ...· Efinix® 全力驅動AI邊緣計算,成功推出Trion™ T20 FPGA樣品, 同時將產品擴展到二十萬邏輯單元的T200 FPGA
- ...· 英飛凌亮相進博會,引領智慧新生活
- ...· 三電產品開發及測試研討會北汽新能源專場成功舉行
- ...· Manz亞智科技跨入半導體領域 為面板級扇出型封裝提供化學濕制程、涂布及激光應用等生產設備解決方案
- ...· 中電瑞華BITRODE動力電池測試系統順利交付北汽新能源
- ...· 中電瑞華FTF系列電池測試系統中標北京新能源汽車股份有限公司
- ...· 中電瑞華大功率高壓能源反饋式負載系統成功交付中電熊貓
- ...· 中電瑞華國際在電動汽車及關鍵部件測評研討會上演繹先進測評技術








