時域時鐘抖動分析(一)
作者:Thomas Neu
德州儀器 (TI) 系統兼應用工程師
新型的高速 ADC 都具備高模擬輸入帶寬(約為較大采樣頻率的 3 到 6 倍),因此它們可以用于許多欠采樣應用中。ADC 設計的較新進展極大地擴展了可用輸入范圍,這樣系統設計人員便可以去掉至少一個中間頻率級,從而降低成本和功耗。在欠采樣接收機設計中必須要特別注意采樣時鐘,因為在一些高輸入頻率下時鐘抖動會成為限制信噪比 (SNR) 的主要原因。
本系列文章共有三部分,“第 1 部分”重點介紹如何準確地估算某個時鐘源的抖動,以及如何將其與 ADC 的孔徑抖動組合。在“第 2 部分”中,該組合抖動將用于計算 ADC 的 SRN,然后將其與實際測量結果對比!暗 3 部分”將介紹如何通過改善 ADC 的孔徑抖動來進一步增加 ADC 的 SNR,并會重點介紹時鐘信號轉換速率的優化。
采樣過程回顧
根據 Nyquist-Shannon 采樣定理,如果以至少兩倍于其較大頻率的速率來對原始輸入信號采樣,則其可以得到完全重建。假設以 100 MSPS 的速率對高達 10MHz 的輸入信號采樣,則不管該信號是位于 1 到 10MHz 的基帶(首個Nyquist 區域),還是在 100 到 110MHz 的更高 Nyquist 區域內欠采樣,都沒關系(請參見圖 1)。在更高(第二個、第三個等)Nyquist 區域中采樣,一般被稱作欠采樣或次采樣。然而,在 ADC 前面要求使用抗混疊過濾,以對理想 Nyquist 區域采樣,同時避免重建原始信號過程中產生干擾。
圖 1 100MSPS 采樣的兩個輸入信號顯示了混疊帶來的相同采樣點

仔細觀察某個采樣點,可以看到計時不準(時鐘抖動或時鐘相位噪聲)是如何形成振幅變化的。由于高 Nyquist 區域(例如,f1 = 10 MHz 到 f2 = 110 MHz)欠采樣帶來輸入頻率的增加,固定數量的時鐘抖動自理想采樣點產生更大數量的振幅偏差(噪聲)。另外,圖 2 表明時鐘信號自身轉換速率對采樣時間的變化產生了影響。轉換速率決定了時鐘信號通過零交叉點的快慢。換句話說,轉換速率直接影響 ADC 中時鐘電路的觸發閾值。
圖 2 時鐘抖動形成更多快速輸入信號振幅誤差


時鐘抖動導致的 SNR 減弱
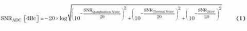
有幾個因素會限制 ADC 的 SNR,例如:量化噪聲(管線式轉換器中一般不明顯)、熱噪聲(其在低輸入頻率下限制 SNR),以及時鐘抖動(SNRJitter)(請參見下面方程式 1)。SNRJitter 部分受到輸入頻率 fIN(取決于 Nyquist 區域)的限制,同時受總時鐘抖動量 tJitter 的限制,其計算方法如下:

SNRJitter[dBc]=-20×log(2π×fIN×tJitter)(2)
正如我們預計的那樣,利用固定數量的時鐘抖動,SNR 隨輸入頻率上升而下降。圖 4 描述了這種現象,其顯示了 400 fs 固定時鐘抖動時一個 14 位管線式轉換器的 SNR。如果輸入頻率增加十倍,例如:從 10MHz 增加到 100MHz,則時鐘抖動帶來的較大實際 SNR 降低 20dB。

如前所述,限制 ADC SNR 的另一個主要因素是 ADC 的熱噪聲,其不隨輸入頻率變化。一個 14 位管線式轉換器一般有 ~70 到 74 dB 的熱噪聲,如圖 4 所示。我們可以在產品說明書中找到 ADC 的熱噪聲,其相當于較低指定輸入頻率(本例中為 10MHz)的 SNR,其中時鐘抖動還不是一個因素。
讓我們來對一個具有 400 fs 抖動時鐘電路和 ~73 dB 熱噪聲的 14 位 ADC 進行分析。低輸入頻率(例如:10MHz 等)下,該 ADC 的 SNR 主要由其熱噪聲定義。由于輸入頻率增加,400-fs 時鐘抖動越來越占據主導,直到 ~300 MHz 時完全接管。盡管相比 10MHz 的 SNR,100MHz 輸入頻率下時鐘抖動帶來的 SNR 每十倍頻降低 20dB,但是總 SNR 僅降低 ~3.5 dB(降至 69.5dB),因為存在 73-dB 熱噪聲(請參見圖 5):

現在,很明顯,如果 ADC 的熱噪聲增加,對高輸入頻率采樣時時鐘抖動便非常重要。例如,一個 16 位 ADC 具有 ~77 到 80 dB 的熱噪聲層。根據圖 4 所示曲線圖,為了較小化 100MHz 輸入頻率 SNR 的時鐘抖動影響,時鐘抖動需為大約 150 fs 或更高。
確定采樣時鐘抖動
如前所述,采樣時鐘抖動由時鐘的計時不準(相位噪聲)和 ADC 的窗口抖動組成。這兩個部分結合組成如下:

我們在產品說明書中可以找到 ADC 的孔徑口抖動 (aperture jitter)。這一值一般與時鐘振幅或轉換速率一起指定,記住這一點很重要。低時鐘振幅帶來低轉換速率,從而增加窗口抖動。
時鐘輸入抖動
時鐘鏈(振蕩器、時鐘緩沖器或 PLL)中器件的輸出抖動一般規定在某個頻率范圍內,該頻率通常偏離于基本時鐘頻率 10 kHz 到 20 MHz(單位也可以是微微秒或者繪制成相位噪聲圖),可以將其整合到一起獲取抖動信息。但是,低端的 10kHz 和高端的 20MHz 有時并非正確的使用邊界,因為它們調試依賴于其他系統參數,我們將在后面進行詳細介紹。圖 6 描述了設置正確整合限制的重要性,圖中的相位噪聲圖以其每十倍頻抖動內容覆蓋。我們可以看到,如果將下限設定為 100-Hz 或 10kHz 偏移,則產生的抖動便極為不同。同樣地,例如,設置上整合限制為 10 或 20MHz,可得到相比 100MHz 設置極為不同的結果。
圖 5 產生的 ADC SNR 受熱噪聲和時鐘抖動的限制

圖 6 每十倍頻計算得到的時鐘相位噪聲抖動影響

相關閱讀:
- ...2012/04/01 10:31·時域時鐘抖動分析(一)
- ...· Efinix® 全力驅動AI邊緣計算,成功推出Trion™ T20 FPGA樣品, 同時將產品擴展到二十萬邏輯單元的T200 FPGA
- ...· 英飛凌亮相進博會,引領智慧新生活
- ...· 三電產品開發及測試研討會北汽新能源專場成功舉行
- ...· Manz亞智科技跨入半導體領域 為面板級扇出型封裝提供化學濕制程、涂布及激光應用等生產設備解決方案
- ...· 中電瑞華BITRODE動力電池測試系統順利交付北汽新能源
- ...· 中電瑞華FTF系列電池測試系統中標北京新能源汽車股份有限公司
- ...· 中電瑞華大功率高壓能源反饋式負載系統成功交付中電熊貓
- ...· 中電瑞華國際在電動汽車及關鍵部件測評研討會上演繹先進測評技術








